Empréstimos e Financiamentos
-
O que é empréstimo bancário
-
O que é financiamento
-
Cuidados necessários
-
Concessão:O banco é obrigado a conceder empréstimo ou financiamento?
-
Liquidação antecipada
-
Taxas de juros
1. O que é empréstimo bancário?
É um contrato entre o cliente e a instituição financeira pelo qual ele recebe uma quantia que deverá ser devolvida ao banco em prazo determinado, acrescida dos juros acertados. Os recursos obtidos no empréstimo não têm destinação específica.
2. O que é financiamento?
É também um contrato entre o cliente e a instituição financeira, mas com destinação específica, como, por exemplo, a aquisição de veículo ou de bem imóvel.
3. Uma empresa está me oferecendo crédito facilitado e me pediu um depósito antecipado para fazer a liberação dos recursos. Isso é seguro?
Não é seguro, pois essa situação apresenta indícios de golpe.
O Banco Central recomenda à população que, na contratação de operações de empréstimos ou financiamentos, tenha todos os cuidados abaixo:
- procure sempre uma instituição autorizada pelo Banco Central e certifique-se de estar tratando, de fato, com a instituição em - questão; não forneça seus dados pessoais nem cópia de documentos para desconhecidos;
- nunca faça nenhum depósito inicial para obter empréstimos, principalmente, em contas de pessoas físicas;
- evite fazer empréstimos com empresas desconhecidas que veiculam anúncios em jornais, internet ou outros meios de comunicação e que não possuam uma sede física, ou seja, um endereço conhecido;
- desconfie de ofertas de crédito muito vantajosas ou facilitadas que dispensem avalista ou que não façam consultas a cadastros restritivos (SPC e Serasa, por exemplo); nunca assine um documento sem ler.
Vários golpistas do crédito fácil utilizam contas de depósito e, também, o nome de instituições financeiras e administradoras de consórcios regularmente constituídas. Assim, verifique inicialmente com a própria instituição financeira sobre a oferta do crédito. Caso você tenha dúvida sobre os telefones da instituição financeira, consulte a nossa Central de Atendimento ao Público.
A relação das instituições autorizadas está disponível na página do BCB em "Sistema Financeiro Nacional > Informações cadastrais e contábeis > Informações cadastrais", consultando a opção "Relação de instituições em funcionamento no país (transferência de arquivos)" ou a opção "Cadastro de instituições (endereço, diretores, redes de agência, dados do conglomerado, carteiras, tarifas, etc)". É bom destacar que o Banco Central não realiza empréstimos à população.
4. Concessão: O banco é obrigado a conceder empréstimo ou financiamento um cidadão ?
Não. Cada instituição financeira pode estabelecer critérios próprios para a concessão.
5. Empréstimos e financiamentos podem ser quitados antecipadamente?
Perfeitamente, pois as normas do Conselho Monetário Nacional garantem ao cliente o direito à liquidação antecipada com redução proporcional dos juros. As instituições financeiras devem informar as condições para essa antecipação.
Saiba mais sobre liquidação antecipada de empréstimos e financiamentos.
6. Existe algum limite para as taxas de juros cobradas pelas instituições financeiras?
Não há limites. As taxas de juros são aquelas praticadas no mercado, variando de instituição para instituição.
Empréstimos Consignados
(última atualização: abril 2011)
-
O que é empréstimo consignado
-
Papel do Banco Central
-
Aposentados e Pensionistas
-
Cuidados ao contratar um empréstimo
1. O que é empréstimo consignado
É uma modalidade de empréstimo em que o desconto da prestação é feito diretamente na folha de pagamento ou de benefício previdenciário do contratante. A consignação em folha de pagamento ou de benefício depende de autorização prévia e expressa do cliente para a instituição financeira.
2. Qual o papel do Banco Central no disciplinamento da concessão de empréstimos consignados?
O único normativo editado pelo Banco Central que trata especificamente de empréstimos consignados é a Circular 3.522, de 2011. Esse normativo veda às instituições financeiras a celebração de convênios, contratos ou acordos que impeçam o acesso de clientes a operações de crédito ofertadas por outras instituições.
3. No caso de aposentados e pensionistas, o empréstimo consignado só pode ser contratado no banco onde se recebe o benefício previdenciário?
Dúvidas sobre empréstimo consignado para aposentados e pensionistas do INSS devem ser encaminhadas ao próprio Instituto Nacional do Seguro Social. Na página do Ministério da Previdência Social é possível obter diversas informações sobre empréstimo consignado, inclusive com relação à taxa de juros praticada pelas instituições financeiras.
4. Que cuidados devem ser tomados antes de se contratar um empréstimo?
Alguns cuidados devem ser adotados sempre que se fizer qualquer operação bancária. Esses mesmos cuidados devem ser tomados antes da contratação de um empréstimo consignado.
Algumas recomendações importantes:
- Não se deve nunca fornecer o cartão magnético ou senha do banco a terceiros;
- Não é prudente contratar empréstimos sem pesquisar as taxas de juros e condições oferecidas por outras instituições;
- É fundamental saber se a instituição financeira está autorizada a funcionar pelo Banco Central e, no caso dos empréstimos consignados para aposentados e pensionistas do INSS, se a instituição está conveniada com o INSS;
- Não se deve aceitar a intermediação de pessoas com promessas de acelerar o crédito;
- O interessado em contratar um empréstimo consignado deve lembrar que esse tipo de operação representa dívidas que poderão afetar a administração da renda pessoal e familiar futura, em razão do comprometimento mensal dos benefícios com o pagamento do empréstimo.
Custo Efetivo Total (CET)
(última atualização: junho 2011)
-
O que é Custo Efetivo Total (CET)
-
Quem e quando deve informar o CET
-
Cálculo do CET
-
Utilidade do CET
-
Normativos
1. O que é Custo Efetivo Total (CET) de uma operação?
Custo Efetivo Total (CET) corresponde a todos os encargos e despesas incidentes nas operações de crédito e de arrendamento mercantil financeiro, contratadas ou ofertadas a pessoas físicas, microempresas ou empresas de pequeno porte.
2. Quem deve informar o CET? Quando deve ser informado?
O CET deve ser informado pelas instituições financeiras e pelas sociedades de arrendamento mercantil antes da contratação de operações de crédito e de arrendamento mercantil e também em qualquer outro momento, a pedido do cliente.
O CET também deve constar dos informes publicitários das instituições quando forem veiculadas ofertas específicas (com divulgação da taxa de juros cobrada, do valor das prestações, etc).
3. Como é calculado o CET?
O CET deve ser expresso na forma de taxa percentual anual, incluindo todos os encargos e despesas das operações, isto é, o CET deve englobar não apenas a taxa de juros, mas também tarifas, tributos, seguros e outras despesas cobradas do cliente.
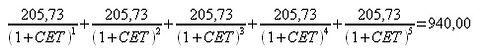
Suponha, por exemplo, um financiamento nas seguintes condições:
Valor Financiado - R$ 1.000,00
Taxa de juros - 12% ao ano ou 0,95% ao mês
Prazo da operação - 5 meses
Prestação mensal - R$ 205,73
Além desses dados, considere também a hipótese de pagamento à vista (sem inclusão no valor financiado), dos seguintes valores:
Tarifa de confecção de cadastro para início de relacionamento - R$ 50,00
IOF - R$ 10,00
De acordo com a fórmula da Resolução CMN 3.517, de 2007, o FCo (valor do crédito concedido) e o FCj (valores cobrados pela instituição), seriam os seguintes:
FCo=R$ 940,00
FCj=R$ 205,73
Considerando as prestações pagas a períodos fixos, e utilizando as fórmulas de matemática financeira (por meio de uma planilha de cálculo eletrônica ou calculadora científica), o cálculo do CET ficaria assim:
CET=43,93% ao ano ou 3,08% ao mês.
Saiba mais sobre o cálculo do CET, consultando a Resolução CMN 3.517, de 2007.
4. Qual a utilidade do CET?
Conhecendo previamente o custo total da operação de crédito, fica mais fácil para o cliente comparar as diferentes ofertas de crédito feitas pelas instituições do mercado, o que gera maior concorrência entre essas instituições.
- normativos:
Resolução CMN 3.517, de 2007.
Resolução CMN 3.909, de 2010.
Fonte: Banco Central do Brasil - BCB.





